Pay My Bill   |   Urgent Care   |   Call Us

Request an Appointment Chat with an Injury Expert
Logo for Orthopaedic & Spine Center of the Rockies featuring a stylized figure holding a ring, next to the text "OCR Orthopaedic & Spine Center of the Rockies.
  • About
    • About Us
    • Affiliated Hospitals
    • Epic – OCR MyChart
    • Blog & Insights
  • Providers
    • Physicians
    • Physician Assistants and Nurse Practitioners
    • Trauma Team
  • Specialties
    • Concussion
    • Foot & Ankle
    • Hand & Upper Extremity Surgery
    • Hip & Knee Joint Replacement
    • Hip Arthroscopy
    • Knee Disorders
    • Pediatric Orthopaedics
    • Physical Medicine & Rehabilitation (PM&R)
    • Podiatry
    • Shoulder Disorders
    • Spine: Back, Neck & Pediatric Spine
    • Sports Medicine
    • Trauma & Fractures
    • Work Related Disorders & Injuries
  • Locations
    • Main Campus Locations
    • Surgery & Recovery Center Campuses
    • Orthopaedic Urgent Care
  • Services
    • Clinics
    • Imaging
    • Physical Therapy Services
    • Occupational Injury Care
    • Surgery & Recovery Center Campuses
  • Community
    • Champions
    • Community Involvement
    • OCR Buddy Bears for a Cause
    • Events
  • Careers
  • Patients
    • Epic – OCR MyChart
    • FAQ
    • Glossary
    • Insurance & Medical Forms
    • Pay Your Bill
  • Contact

LINK TO DOWNLOAD: Comparing_4_Year_Changes_in_Patient_Reported.4

 

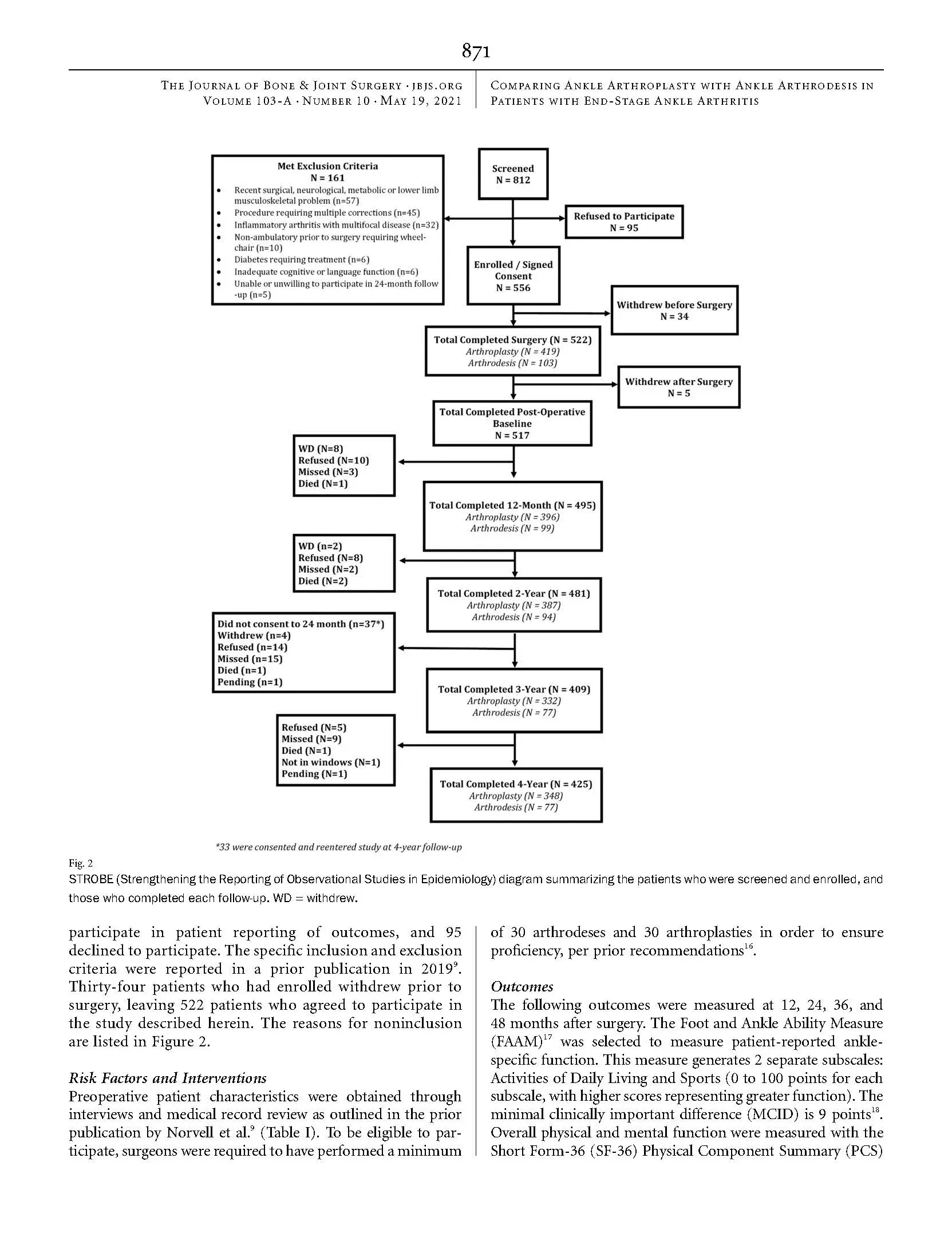
Comparing 4 Year Changes in Patient Reported.4 Page 01 Comparing 4-Year Changes in Patient-Reported Outcomes Following Ankle Arthroplasty & Arthrodesis | Amber Vance, ACNP-C, FNP orthopedic spine surgeons Comparing 4 Year Changes in Patient Reported.4 Page 02 Comparing 4-Year Changes in Patient-Reported Outcomes Following Ankle Arthroplasty & Arthrodesis | Amber Vance, ACNP-C, FNP orthopedic spine surgeons Comparing 4 Year Changes in Patient Reported.4 Page 03 Comparing 4-Year Changes in Patient-Reported Outcomes Following Ankle Arthroplasty & Arthrodesis | Amber Vance, ACNP-C, FNP orthopedic spine surgeons Comparing 4 Year Changes in Patient Reported.4 Page 04 Comparing 4-Year Changes in Patient-Reported Outcomes Following Ankle Arthroplasty & Arthrodesis | Amber Vance, ACNP-C, FNP orthopedic spine surgeons Comparing 4 Year Changes in Patient Reported.4 Page 05 Comparing 4-Year Changes in Patient-Reported Outcomes Following Ankle Arthroplasty & Arthrodesis | Amber Vance, ACNP-C, FNP orthopedic spine surgeons

Comparing 4 Year Changes in Patient Reported.4 Page 06 Comparing 4-Year Changes in Patient-Reported Outcomes Following Ankle Arthroplasty & Arthrodesis | Amber Vance, ACNP-C, FNP orthopedic spine surgeons

Comparing 4 Year Changes in Patient Reported.4 Page 07 Comparing 4-Year Changes in Patient-Reported Outcomes Following Ankle Arthroplasty & Arthrodesis | Amber Vance, ACNP-C, FNP orthopedic spine surgeons

Comparing 4 Year Changes in Patient Reported.4 Page 08 Comparing 4-Year Changes in Patient-Reported Outcomes Following Ankle Arthroplasty & Arthrodesis | Amber Vance, ACNP-C, FNP orthopedic spine surgeons

Comparing 4 Year Changes in Patient Reported.4 Page 09 Comparing 4-Year Changes in Patient-Reported Outcomes Following Ankle Arthroplasty & Arthrodesis | Amber Vance, ACNP-C, FNP orthopedic spine surgeons

Comparing 4 Year Changes in Patient Reported.4 Page 10 Comparing 4-Year Changes in Patient-Reported Outcomes Following Ankle Arthroplasty & Arthrodesis | Amber Vance, ACNP-C, FNP orthopedic spine surgeons

Back to Blog
Back to News & Press

Are You Hurt?

Get Fast and Free Advice from Orthopedic Injury Experts 24/7

When you’re in pain or uncertain about an injury, we’re here to help.
Chat with an injury expert for immediate guidance and avoid unnecessary trips to the ER.

Chat with an Injury Expert

UPPER BODY SPECIALTIES
Hand & Upper Extremity
Shoulder
Spine

LOWER BODY SPECIALTIES
Foot & Ankle
Podiatry
Hip & Knee
Hip Arthroscopy
Knee Disorders

SPORTS MEDICINE
Sports Medicine
Concussions

ORTHOPEDIC SPECIALTIES
Pediatric Orthopaedics
Trauma & Fractures

NON-SURGICAL TREATMENT SPECIALTIES
Physiatry (Physical Medicine and Rehabilitation)
Occupational Injury Care
Therapy
Imaging
Clinics

SITE INFO & RESOURCES
News and Press
Glossary
Policies & Disclaimer
Coverage Information
HIPAA Policy
Additional Resources

ACA – 1095 C Forms

QUICK LINKS
Contact
Pay My Bill
Request an Appointment
Careers
Physicians
LOCATIONS
Fort Collins
Greeley
Lafayette
Longmont
Loveland
Westminster
PROUD MEMBER OF
The OrthoForum logo
The image shows the word "PELTO" in bold, dark green letters. To the left of the text is a geometric, pentagon-shaped logo with green and teal segments. The background is light gray.
© Copyright 2026 Orthopaedic & Spine Center of the Rockies
All Rights Reserved | Non-discrimination Notice | Website Design and Healthcare Marketing by .OTM
  • Follow
  • Follow
  • Follow
  • Follow